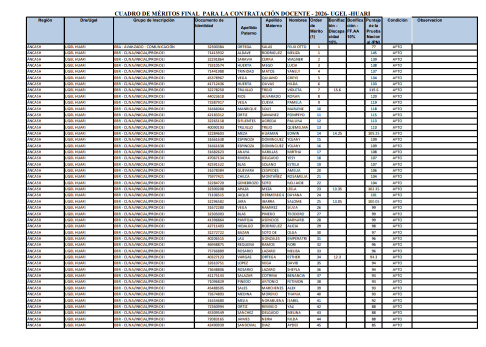
HomeConvocatorias DocentesCUADRO DE MERITOS FINAL CONTRATO DOCENTE 2026 Peggy Amaro Galvanfebrero 17, 2026 9:08 pm 0 CUADRO DE MERITOS 2026Descarga CATEGORIES Convocatorias Docentes Share ThisAUTHORPeggy Amaro Galvan