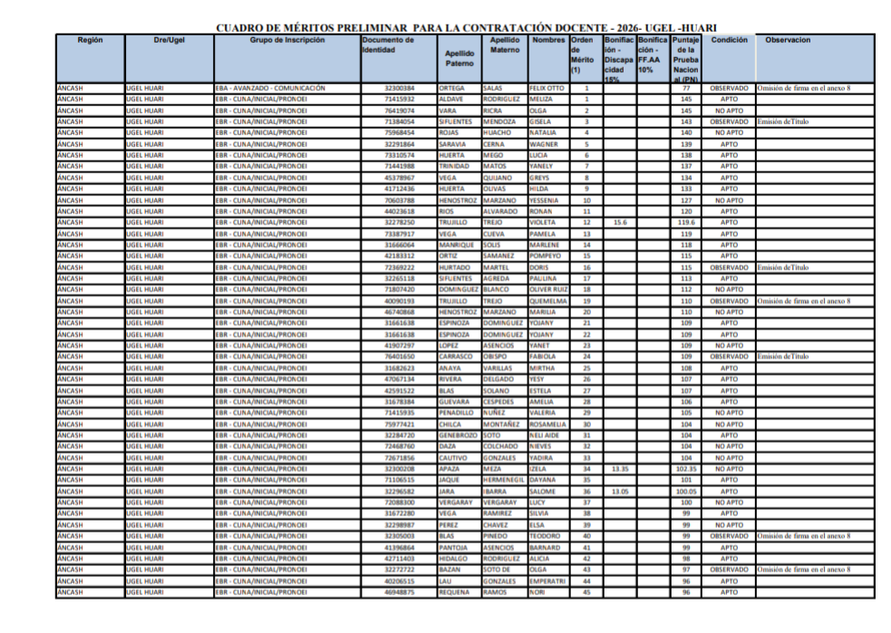
HomeConvocatorias DocentesResultados preliminares de postulantes habilitados para la contratación docente y publicación de observados. Peggy Amaro Galvanfebrero 11, 2026 9:36 pm 0 CUADRO DE MERITOS PRELIMINAR 2026Descarga CATEGORIES Convocatorias Docentes Share ThisAUTHORPeggy Amaro Galvan